安光所团队在金星云和霾微物理特性反演方法研究上取得新进展
时间:2025-12-09 作者:李宜奇
中国科学院安光所光学遥感中心遥感信息表征技术研究室在金星云和霾的微物理特性表征与反演能力评估方面取得新进展。相关成果以《基于SPICAV IR和Venspec-H仪器偏振波段的金星云和霾信息量分析》为题发表在国际知名行星科学期刊ICARUS 上。
金星厚重的云和霾层是研究金星能量平衡和大气环流的重要对象。如何通过强度和偏振观测精确反演云和霾粒子的半径、浓度和折射率等微物理参数,是当前金星探测任务和未来载荷设计的关键科学问题。
为此,研究团队基于PyMieDAP矢量辐射传输模型,构建了分层金星云和霾的大气结构,并设计多种观测情景,通过微扰法计算雅可比矩阵,定量评估强度与偏振观测对不同高度、不同波长下气溶胶参数的敏感性。结果表明:强度观测对金星下层云的微物理参数(如粒子有效半径、柱密度)更为敏感;而在小相位角条件下,偏振观测主要受单次散射主导,对上层云和霾粒子特性更加敏感,有利于约束其粒径和折射率。
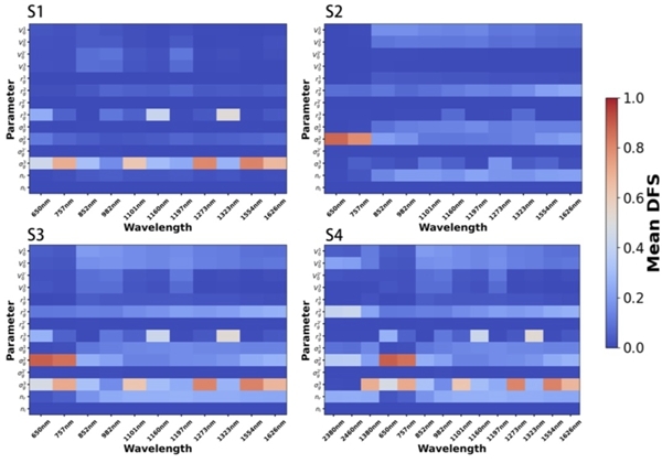
在此基础上,团队引入“信号自由度”(Degrees of Freedom for Signal, DFS)指标,对不同观测模式和几何条件下的反演信息量进行系统评估。研究发现:由单一强度观测扩展为强度–偏振联合观测后,整体DFS提升约3,表明加入偏振观测可额外反演多项关键云和霾参数;在联合观测模式中进一步引入VenSpec-H仪器的近红外波段后,上层云参数及折射率实部对应的DFS继续增加,显示纳入VenSpec-H仪器的潜在偏振波段可提升上层云参数和折射率的反演精度。此外,不同云层参数对应的最佳观测几何(相位角范围)并不相同,为未来任务观测几何的优化选择提供了量化依据。
研究还系统分析了光谱波段和仪器误差对DFS的影响。结果显示,应在650nm至2.5μm多个气溶胶窗口波段合理配置强度与偏振通道,并在联合观测模式下保持较高的偏振度和辐亮度观测精度,以显著降低反演不确定性。该工作从信息量角度给出了波段配置、观测几何与精度指标之间的权衡关系,为未来金星探测任务中偏振成像仪与近红外光谱仪的设计提供重要参考。此外,该研究为深入理解金星云和霾的垂直结构和微物理特性、优化行星大气遥感载荷方案提供了新思路,也为太阳系其他类地行星大气的偏振遥感研究提供了有益借鉴。
博士研究生李宜奇为论文第一作者,孙晓兵研究员为论文通讯作者。
论文链接:https://doi.org/10.1016/j.icarus.2025.116905

金星云和霾分层建模示意图

在观测场景 S1–S4 下,各参数的平均 DFS 与波长 (650nm–2460nm) 的关系